晶振官方博客
更多>>一一揭曉石英晶振的彈性性質
來源:http://m.zcmachinery.com.cn 作者:康華爾 2018年01月25
在外力作用下,物體的大小和形狀都要發生變化,通常稱之為形變。如果外力撤消后,物體能恢復原狀,則這種性質稱為物體的彈性;如果外力撤消后,物體不能恢復原狀,則這種性質就稱為物體的塑性。自然界既不存在完全彈性的物體,也不存在完全塑性的物體。對于任何物體,當外力小時,形變也小,外力撤消后,物體可完全復原;當外力大時,形變也大。若外力過大,形變超過一定限度,物體就不會復原了。這就說明,物體有一定的彈性限度,超過這個限度就變成塑性。與壓電有關的問題,都屬于彈性限度范圍內的問題。因此,這里僅討論石英晶振的彈性性質。
一、應力
選兩根長度相等,粗細不同的橡皮繩,當這兩根橡皮繩受到相同的拉力作用時,顯然,細橡皮繩比粗橡皮繩拉得長一些。為什么在相同的外力作用下,它們的伸長量不一樣呢?這是因為兩根橡皮繩的粗細不一樣,也就是橫截面的大小不樣。由此可見,在拉力的作用下,物體的伸長量不僅與力的大小有關,而且還與物體的橫截面的大小有關。為了計入橫截面大小的影響,引入單位面積的作用力(即應力)這個概念,它的數學表達式為:T=
式中,T為應力,F為作用力,A為橫截面(即力的作用面積)。通常規定作用力為拉力時,T>0,作用力為壓力時,T<0。
二、應變
選擇兩根長度不等,但粗細相同的橡皮繩,當這兩根橡皮繩受到相同的拉力作用時,它們的應力相同,而伸長量不同,即長橡皮繩比短橡皮繩拉得長一些。由此可見,物體的伸長量不僅與應力有關,而且還與原來的長度有關。為了計入長度的影響,引入單位長度的伸長量(即應變)這個概念。它的數學表達式為S=
式中,S為應變,l為原長,△l為伸長量,△l為單位長度的伸長量(或相對伸長量)。
三、正應力與正應變
如圖2.2.1(a)所示的小方片,當它受到x方向的應力作用時,除在x方向產生伸長外,同時在y方向也產生收縮,如圖2.2.1(b)所示。同樣,當小方片受到y方向的應力作用時,除了在y方向產生伸長外,同時在x方向也產生收縮
如圖2.2.1(c)所示。上述

(a)未受力情況(b)沿x方向受力時的形變情況(c)沿y方向受力時的形變情況
圖2.2.1小方片應力、應變示意圖
沿x方向應力和y方向應力的特點是,力的方向與作用面垂直(或力的方向與作用面的法線方向平行)。為了反應這兩個方向在應力符號上要附加兩個足標,例如Tx和Ty。應力的第一個足標表示力的方向,第二個足標表示作用面的法線方向。同理,應變也有兩個足標,例如Sx和Sy應變的第一個足標表示原長度的方向,第二個足標表示伸長量的方向,Tx、Ty又稱正應力(或伸縮應力),Sx、Sy又稱為正應變(或伸縮應變)為了簡便,通常將足標中的(x,y,z)用(1,2,3)表示,而且將雙足標簡化為單足標,雙足標與單足標的關系如表2.2.1所示。

四、切應力與切應變
形變前為一正方形的薄片,在形變后變為菱形,這樣的形變稱為切變,如圖22.2所示。從圖中看出,切變的特點是形變前、后四個邊之間的夾角發生了變化,一個對角線被拉長,另一個對角線被壓縮。而且角度6xy和eyx的變化越大,切變越大。因此切應變與這兩個角度之間的關系為:

顯然,S6這種切應變,在如圖2.2.3所示的兩對應力(Tyx,Tyx和Txy,Tyx)的作用下產生的,而這兩對應力稱為切應力。切應力的特點是:力的方向與作用面平行,它可以使物體產生切變,而不能使物體產生轉動,故有:Tyx= Txy = T21 = T12 =T6
五、應力張量和應變張量
由于應力不僅與作用力的方向有關,而且還與作用面的法線方向有關,所以,在三維情況下,應力分量有9個,如圖224所示。其中,正應力為:

這就是說,應力張量只有6個獨立分量,為了運算方便,在晶體物理中常將應力張量寫成一列矩陣,即:

與應力張量的情況相同,應變張量也只有6個獨立分量。在晶體物理中常將應變張量寫成一列矩陣,即:
式中S1、S2、S3分別表示沿x、y、z方向的正應變;S4、S5、S6分別表示沿x、y、z平面的切應變。
六、應變分量與位移分量之間的關系
設u、v、w分別表示沿x、y、z方向的位移分量,則應變分量與位移分量之間的關系為:

在石英晶振,貼片晶振桿上選一小段AB,如圖22.5(a)所示,若A端的位置坐標為x,B端的位置坐標為x+dx,則AB小段的原長為:x+dx-r=dx在外力作用下,若A端的位移為u,B端的位移為u+dh,則AB兩端的相對位移為u+du-u=du當da=0時,它表示AB兩端的位移相等,即原長不變。當dh≠0時,它表示AB兩端的位移不等,即AB段的長度發生了變化,而dh就是等于它沿x方向的伸長量。根據正應變的定義:沿x方向的正應變S1等于x方向的伸長量與x方向上的原長之比,即得到 S1=
正應變S2和S3與S1的情況類似。再以切應變S6為例。根據切應變的定義:

切應變S4和S5與S6的情況類似。
七、應力與應變的關系一彈性定律
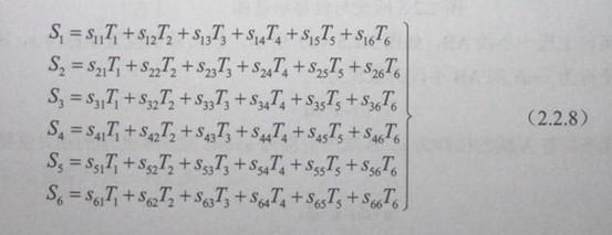
實驗上發現,在彈性限度范圍內,應力大時,應變也大;應力小時,應變也小。人們根據長期的生產實踐,總結了這個規律,稱為彈性定律或廣義胡克定律,即“在彈性限度范圍內,物體內任意一點的應變分量與該點應力分量之間存在線性關系”。對于完全各向異性體(如三斜晶系),彈性定律的數學表示式為:

或簡寫成

式中系數S稱為彈性柔順常數,并有Sij=Sji(i≠j),由式(2.2.8)可以看出不僅正應力能產生正應變,而且切應力也能產生正應變;同樣,不僅切應力能產生切應變,而且正應力也能產生切應變。這就是說,在一般情況下,應變與應力之間的關系是比較復雜的。
式(2.28)還可寫成矩陣形式,即:

或簡寫成:
T=Cs (2.2.13)
式中系數c稱為彈性剛度常數;c代表彈性彈性剛度常數矩陣。
根據晶體的對稱性,可以得到石英晶體的彈性定律表示式為

一、應力
選兩根長度相等,粗細不同的橡皮繩,當這兩根橡皮繩受到相同的拉力作用時,顯然,細橡皮繩比粗橡皮繩拉得長一些。為什么在相同的外力作用下,它們的伸長量不一樣呢?這是因為兩根橡皮繩的粗細不一樣,也就是橫截面的大小不樣。由此可見,在拉力的作用下,物體的伸長量不僅與力的大小有關,而且還與物體的橫截面的大小有關。為了計入橫截面大小的影響,引入單位面積的作用力(即應力)這個概念,它的數學表達式為:T=
二、應變
選擇兩根長度不等,但粗細相同的橡皮繩,當這兩根橡皮繩受到相同的拉力作用時,它們的應力相同,而伸長量不同,即長橡皮繩比短橡皮繩拉得長一些。由此可見,物體的伸長量不僅與應力有關,而且還與原來的長度有關。為了計入長度的影響,引入單位長度的伸長量(即應變)這個概念。它的數學表達式為S=
三、正應力與正應變
如圖2.2.1(a)所示的小方片,當它受到x方向的應力作用時,除在x方向產生伸長外,同時在y方向也產生收縮,如圖2.2.1(b)所示。同樣,當小方片受到y方向的應力作用時,除了在y方向產生伸長外,同時在x方向也產生收縮
如圖2.2.1(c)所示。上述
(a)未受力情況(b)沿x方向受力時的形變情況(c)沿y方向受力時的形變情況
圖2.2.1小方片應力、應變示意圖
沿x方向應力和y方向應力的特點是,力的方向與作用面垂直(或力的方向與作用面的法線方向平行)。為了反應這兩個方向在應力符號上要附加兩個足標,例如Tx和Ty。應力的第一個足標表示力的方向,第二個足標表示作用面的法線方向。同理,應變也有兩個足標,例如Sx和Sy應變的第一個足標表示原長度的方向,第二個足標表示伸長量的方向,Tx、Ty又稱正應力(或伸縮應力),Sx、Sy又稱為正應變(或伸縮應變)為了簡便,通常將足標中的(x,y,z)用(1,2,3)表示,而且將雙足標簡化為單足標,雙足標與單足標的關系如表2.2.1所示。
四、切應力與切應變
形變前為一正方形的薄片,在形變后變為菱形,這樣的形變稱為切變,如圖22.2所示。從圖中看出,切變的特點是形變前、后四個邊之間的夾角發生了變化,一個對角線被拉長,另一個對角線被壓縮。而且角度6xy和eyx的變化越大,切變越大。因此切應變與這兩個角度之間的關系為:
顯然,S6這種切應變,在如圖2.2.3所示的兩對應力(Tyx,Tyx和Txy,Tyx)的作用下產生的,而這兩對應力稱為切應力。切應力的特點是:力的方向與作用面平行,它可以使物體產生切變,而不能使物體產生轉動,故有:Tyx= Txy = T21 = T12 =T6
五、應力張量和應變張量
由于應力不僅與作用力的方向有關,而且還與作用面的法線方向有關,所以,在三維情況下,應力分量有9個,如圖224所示。其中,正應力為:
這就是說,應力張量只有6個獨立分量,為了運算方便,在晶體物理中常將應力張量寫成一列矩陣,即:
與應力張量的情況相同,應變張量也只有6個獨立分量。在晶體物理中常將應變張量寫成一列矩陣,即:
六、應變分量與位移分量之間的關系
設u、v、w分別表示沿x、y、z方向的位移分量,則應變分量與位移分量之間的關系為:
在石英晶振,貼片晶振桿上選一小段AB,如圖22.5(a)所示,若A端的位置坐標為x,B端的位置坐標為x+dx,則AB小段的原長為:x+dx-r=dx在外力作用下,若A端的位移為u,B端的位移為u+dh,則AB兩端的相對位移為u+du-u=du當da=0時,它表示AB兩端的位移相等,即原長不變。當dh≠0時,它表示AB兩端的位移不等,即AB段的長度發生了變化,而dh就是等于它沿x方向的伸長量。根據正應變的定義:沿x方向的正應變S1等于x方向的伸長量與x方向上的原長之比,即得到 S1=
切應變S4和S5與S6的情況類似。
七、應力與應變的關系一彈性定律
實驗上發現,在彈性限度范圍內,應力大時,應變也大;應力小時,應變也小。人們根據長期的生產實踐,總結了這個規律,稱為彈性定律或廣義胡克定律,即“在彈性限度范圍內,物體內任意一點的應變分量與該點應力分量之間存在線性關系”。對于完全各向異性體(如三斜晶系),彈性定律的數學表示式為:
或簡寫成
式中系數S稱為彈性柔順常數,并有Sij=Sji(i≠j),由式(2.2.8)可以看出不僅正應力能產生正應變,而且切應力也能產生正應變;同樣,不僅切應力能產生切應變,而且正應力也能產生切應變。這就是說,在一般情況下,應變與應力之間的關系是比較復雜的。
式(2.28)還可寫成矩陣形式,即:
或簡寫成:
T=Cs (2.2.13)
式中系數c稱為彈性剛度常數;c代表彈性彈性剛度常數矩陣。
根據晶體的對稱性,可以得到石英晶體的彈性定律表示式為
正在載入評論數據...
相關資訊
- [2022-09-07]出色穩定性能的5032mm石英晶體振蕩器X1...
- [2022-08-01]diodes晶振專用于時間顯示設備的32.768...
- [2022-07-27]伊西斯的新型且創意的低姿態TCXO晶體振...
- [2020-06-22]深入探討有源晶振8個基礎參數詞匯
- [2020-05-25]SiTime開發的新軟件可模擬振蕩器時間誤...
- [2020-05-12]微處理器應該怎樣選擇匹配晶振?一文足...
- [2020-04-14]NDK株式會社差分振蕩器NP3225SBB規格更...
- [2020-03-13]不同類型的Crystal Oscillator工作與電...
- [2019-11-09]了解EPSON晶振獨特的封裝技術
- [2019-09-21]NDK振蕩器電路圖介紹及安裝示例
- [2019-09-16]擁有聲子晶體結構的AT切割諧振器共振分...
- [2019-09-04]SMD Oscillator高溫回流焊接的滯后反應...


銷售代表
售后服務