產品系列
- 32.768KHz
- 石英晶振
- 貼片晶振
- 聲表面濾波器
- 陶瓷晶振
- 陶瓷霧化片
- 陶瓷濾波器
- 微孔霧化片
- CTS晶振
- KDS晶振
- 愛普生晶振
- 西鐵城晶振
- 精工晶體
- 村田晶振
- 京瓷晶振
- DST310S晶振
- 日本大河晶體
- NDK晶振
- 亞陶晶振
- 日本富士晶振
- NAKA晶振
- SMI晶振
- NKG晶振
- NJR晶振
- Q-Tech晶振
- ABRACON晶振
- VECTRON晶振
- JAUCH晶振
- ConnorWinfield晶振
- Rakon晶振
- ECS晶振
- Greenray晶振
- ECLIPTEK晶振
- GOLLEDGE晶振
- STATEK晶振
- Pletronics晶振
- SITIME晶振
- Microcrystal晶振
- RALTRON晶振
- AEK晶振
- AEL晶振
- ILSI晶振
- FOX晶振
- fujicom晶振
- CRYSTEK晶振
- interquip晶振
- Geyer晶振
- quartzcom晶振
- qantek晶振
- EUROQUARTZ晶振
- quarztechnik晶振
- Cardinal晶振
- FRE-TECH晶振
- KVG晶振
- wi2wi晶振
- Transko晶振
- suntsu晶振
- mmdcomp晶振
- MERCURY晶振
- MTRONPTI晶振
- ACT晶振
- MTI晶振
- Lihom晶振
- Rubyquartz晶振
- Oscilent晶振
- SHINSUNG晶振
- ITTI晶振
- PDI晶振
- IQD晶振
- Microchip晶振
- Silicon晶振
- Anderson晶振
- Fortiming晶振
- CORE晶振
- NIPPON晶振
- NIC晶振
- QVS晶振
- Bomar晶振
- Bliley晶振
- GED晶振
- FILTRONETICS晶振
- STD晶振
- Wenzel晶振
- NEL晶振
- EM晶振
- PETERMANN晶振
- FCD-Tech晶振
- HEC晶振
- FMI晶振
- Macrobizes晶振
- AXTAL晶振
- SUNNY晶振
- ARGO晶振
- Renesas瑞薩晶振
- SKYWORKS晶振
- NSK晶振
- 臺灣加高諧振器
- 臺灣鴻星晶體
- TXC晶振
- 臺灣希華晶振
- 臺灣泰藝晶體
- AKER晶振
晶振廠家
進口晶振
歐美晶振
臺產晶振
Tel:0755-27838351
Add:廣東深圳市寶安區67區留仙一路甲岸科技園3棟5樓
Email:konuaer@163.com
QQ:632862232
晶振官方博客
更多>>.jpg)

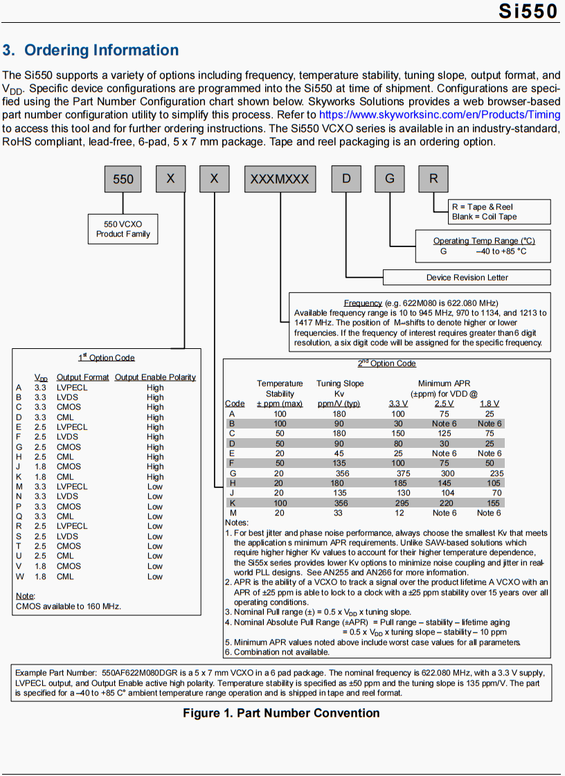
550CD10M0000DG小尺寸晶振,Skyworks晶振,智能輔助駕駛晶振,Si550 VCXO采用Skyworks Solutions先進的DSPLL®電路,在高頻下提供低抖動時鐘。Si550支持從10到945 MHz的任意頻率和1417 MHz的選擇頻率。與傳統VCXOs不同的是,Si550使用一個固定的晶體來提供廣泛的輸出頻率。這種基于集成電路的方法允許晶體諧振器提供卓越的頻率穩定性和可靠性。此外,DSPLL時鐘合成提供了優越的電源噪聲抑制,簡化了在通信系統中通常發現的嘈雜環境中產生低抖動時鐘的任務。Si550基于ic的VCXO可在工廠配置,以滿足各種用戶規格,包括頻率,電源電壓,輸出格式,調諧斜率和溫度穩定性。美國Skyworks晶振公司,高品質晶振,進口晶振,有源晶振,壓控晶振,VCXO晶振,高精度晶振,輔助駕駛模塊晶振,6G路由器晶振.
.gif)
550CD10M0000DG小尺寸晶振,Skyworks晶振,智能輔助駕駛晶振
| 參數 | 符號 | 試驗條件 | 最小值 | 典型的 | 最大值 | 單位 |
| 電源電壓 | VDD | 3.3 V option | 2.97 | 3.3 | 3.63 | V |
| 2.5 V option | 2.25 | 2.5 | 2.75 | V | ||
| 1.8 V option | 1.71 | 1.8 | 1.89 | V | ||
| 供應電流 | IDD |
Output enabled LVPECL CML LVDS CMOS |
— — — — |
120 108 99 90 |
130 117 108 98 |
mA |
| tristate mode | — | 60 | 75 | mA | ||
| 輸出啟用 | VIH | 0.75 x VDD | — | — | V | |
| VIL | — | — | 0.5 | V | ||
| 工作溫度范圍 | TA | –40 | — | 85 | °C | |
| 控制電壓調整坡度 | KV | 10 to 90% of VDD |
— — |
33 45 |
— — |
|
|
— — |
90 135 |
— — |
ppm/V | |||
| — | 180 | — | ||||
| — | 356 | — | ||||
| 控制電壓線性 | LVC | BSL | –5 | ±1 | +5 | % |
| Incremental | –10 | ±5 | +10 | % | ||
| 調制帶寬 | BW | 9.3 | 10.0 | 10.7 | kHz | |
| 輸入抗阻 | ZVC | 500 | — | — | k? | |
| 標稱控制電壓 | VCNOM | @ fO | — | VDD/2 | — | V |
| 控制電壓協調范圍 | VC | 0 | VDD | V | ||
| 標稱頻率 | fO | LVDS/CML/LVPECL | 10 | — | 945 | MHz |
| CMOS | 10 | — | 160 | MHz | ||
| 溫度穩定度 | TA = –40 to +85 ºC |
–20 –50 –100 |
— — — |
20 +50 +100 |
ppm | |
| 老化 | Frequency drift over first year. | — | — | ±3 | ppm | |
| Frequency drift over 15 year life. | — | — | ±10 |
.gif)
550CD10M0000DG小尺寸晶振,Skyworks晶振,智能輔助駕駛晶振

.png)
.png)

.png)
.png)
| Skywork原廠編碼 | 生產商 | 型號 | 類型 | 頻率 | 輸出 | 電源電壓 | 頻率穩定度 |
| 536BB125M000DG | Skyworks晶振 | Si536 | XO | 125 MHz | LVDS | 3.3V | ±20ppm |
| 536FB125M000DG | Skyworks晶振 | Si536 | XO | 125 MHz | LVDS | 2.5V | ±20ppm |
| 536FB156M250DG | Skyworks晶振 | Si536 | XO | 156.25 MHz | LVDS | 2.5V | ±20ppm |
| 536AB156M250DG | Skyworks晶振 | Si536 | XO | 156.25 MHz | LVPECL | 3.3V | ±20ppm |
| 536BB156M250DG | Skyworks晶振 | Si536 | XO | 156.25 MHz | LVDS | 3.3V | ±20ppm |
| 536AC125M000DG | Skyworks晶振 | Si536 | XO | 125 MHz | LVPECL | 3.3V | ±7ppm |
| 536AC156M250DG | Skyworks晶振 | Si536 | XO | 156.25 MHz | LVPECL | 3.3V | ±7ppm |
| 536BB000172DGR | Skyworks晶振 | Si536 | XO | 166.6286 MHz | LVDS | 3.3V | ±20ppm |
| 536BB000175DGR | Skyworks晶振 | Si536 | XO | 167.3316 MHz | LVDS | 3.3V | ±20ppm |
| 536BB106M250DGR | Skyworks晶振 | Si536 | XO | 106.25 MHz | LVDS | 3.3V | ±20ppm |
| 536BB150M000DGR | Skyworks晶振 | Si536 | XO | 150 MHz | LVDS | 3.3V | ±20ppm |
| 536BB155M520DGR | Skyworks晶振 | Si536 | XO | 155.52 MHz | LVDS | 3.3V | ±20ppm |
| 536BB159M375DGR | Skyworks晶振 | Si536 | XO | 159.375 MHz | LVDS | 3.3V | ±20ppm |
| 536BC000172DGR | Skyworks晶振 | Si536 | XO | 166.6286 MHz | LVDS | 3.3V | ±7ppm |
| 536BC000175DGR | Skyworks晶振 | Si536 | XO | 167.3316 MHz | LVDS | 3.3V | ±7ppm |
| 536BC000292DGR | Skyworks晶振 | Si536 | XO | 161.1328 MHz | LVDS | 3.3V | ±7ppm |
| 536BC000305DGR | Skyworks晶振 | Si536 | XO | 156.2578 MHz | LVDS | 3.3V | ±7ppm |
| 536BC106M250DGR | Skyworks晶振 | Si536 | XO | 106.25 MHz | LVDS | 3.3V | ±7ppm |
| 536BC155M520DGR | Skyworks晶振 | Si536 | XO | 155.52 MHz | LVDS | 3.3V | ±7ppm |
| 536BC159M375DGR | Skyworks晶振 | Si536 | XO | 159.375 MHz | LVDS | 3.3V | ±7ppm |
| 536BC312M500DGR | Skyworks晶振 | Si536 | XO | 312.5 MHz | LVDS | 3.3V | ±7ppm |
| 536FB000172DGR | Skyworks晶振 | Si536 | XO | 166.6286 MHz | LVDS | 2.5V | ±20ppm |
| 536FB000175DGR | Skyworks晶振 | Si536 | XO | 167.3316 MHz | LVDS | 2.5V | ±20ppm |
| 536FB000292DGR | Skyworks晶振 | Si536 | XO | 161.1328 MHz | LVDS | 2.5V | ±20ppm |
| 536FB000305DGR | Skyworks晶振 | Si536 | XO | 156.2578 MHz | LVDS | 2.5V | ±20ppm |
| 536FB106M250DGR | Skyworks晶振 | Si536 | XO | 106.25 MHz | LVDS | 2.5V | ±20ppm |
| 536FB150M000DGR | Skyworks晶振 | Si536 | XO | 150 MHz | LVDS | 2.5V | ±20ppm |
| 536FB155M520DGR | Skyworks晶振 | Si536 | XO | 155.52 MHz | LVDS | 2.5V | ±20ppm |
| 536FB159M375DGR | Skyworks晶振 | Si536 | XO | 159.375 MHz | LVDS | 2.5V | ±20ppm |
| 536FC000172DGR | Skyworks晶振 | Si536 | XO | 166.6286 MHz | LVDS | 2.5V | ±7ppm |
| 536FC000175DGR | Skyworks晶振 | Si536 | XO | 167.3316 MHz | LVDS | 2.5V | ±7ppm |
| 536FC000292DGR | Skyworks晶振 | Si536 | XO | 161.1328 MHz | LVDS | 2.5V | ±7ppm |
| 536FC000305DGR | Skyworks晶振 | Si536 | XO | 156.2578 MHz | LVDS | 2.5V | ±7ppm |
| 536FC000338DGR | Skyworks晶振 | Si536 | XO | 338 kHz | LVDS | 2.5V | ±7ppm |
| 536FC106M250DGR | Skyworks晶振 | Si536 | XO | 106.25 MHz | LVDS | 2.5V | ±7ppm |
| 536FC150M000DGR | Skyworks晶振 | Si536 | XO | 150 MHz | LVDS | 2.5V | ±7ppm |
| 536FC155M520DGR | Skyworks晶振 | Si536 | XO | 155.52 MHz | LVDS | 2.5V | ±7ppm |
| 536FC156M250DGR | Skyworks晶振 | Si536 | XO | 156.25 MHz | LVDS | 2.5V | ±7ppm |
| 536FC159M375DGR | Skyworks晶振 | Si536 | XO | 159.375 MHz | LVDS | 2.5V | ±7ppm |
| 536FC212M500DGR | Skyworks晶振 | Si536 | XO | 212.5 MHz | LVDS | 2.5V | ±7ppm |
| 536FC312M500DGR | Skyworks晶振 | Si536 | XO | 312.5 MHz | LVDS | 2.5V | ±7ppm |
| 500DJAA54M0000ACF | Skyworks晶振 | Si500D | XO | 54 MHz | LVPECL | 2.5V | ±10ppm |
| 536FC159M375DG | Skyworks晶振 | Si536 | XO | 159.375 MHz | LVDS | 2.5V | ±7ppm |
| 536FC212M500DG | Skyworks晶振 | Si536 | XO | 212.5 MHz | LVDS | 2.5V | ±7ppm |
| 536FC312M500DG | Skyworks晶振 | Si536 | XO | 312.5 MHz | LVDS | 2.5V | ±7ppm |
| 536BB000172DG | Skyworks晶振 | Si536 | XO | 166.6286 MHz | LVDS | 3.3V | ±20ppm |
| 536BB000175DG | Skyworks晶振 | Si536 | XO | 167.3316 MHz | LVDS | 3.3V | ±20ppm |
| 536BB106M250DG | Skyworks晶振 | Si536 | XO | 106.25 MHz | LVDS | 3.3V | ±20ppm |
| 536BB150M000DG | Skyworks晶振 | Si536 | XO | 150 MHz | LVDS | 3.3V | ±20ppm |
| 536BB155M520DG | Skyworks晶振 | Si536 | XO | 155.52 MHz | LVDS | 3.3V | ±20ppm |
| 536BB159M375DG | Skyworks晶振 | Si536 | XO | 159.375 MHz | LVDS | 3.3V | ±20ppm |
| 536BC000172DG | Skyworks晶振 | Si536 | XO | 166.6286 MHz | LVDS | 3.3V | ±7ppm |
| 536BC000175DG | Skyworks晶振 | Si536 | XO | 167.3316 MHz | LVDS | 3.3V | ±7ppm |
| 536BC000292DG | Skyworks晶振 | Si536 | XO | 161.1328 MHz | LVDS | 3.3V | ±7ppm |
| 536BC000305DG | Skyworks晶振 | Si536 | XO | 156.2578 MHz | LVDS | 3.3V | ±7ppm |
| 536BC106M250DG | Skyworks晶振 | Si536 | XO | 106.25 MHz | LVDS | 3.3V | ±7ppm |
| 536BC155M520DG | Skyworks晶振 | Si536 | XO | 155.52 MHz | LVDS | 3.3V | ±7ppm |
| 536BC159M375DG | Skyworks晶振 | Si536 | XO | 159.375 MHz | LVDS | 3.3V | ±7ppm |
| 536BC312M500DG | Skyworks晶振 | Si536 | XO | 312.5 MHz | LVDS | 3.3V | ±7ppm |
| 536FB000172DG | Skyworks晶振 | Si536 | XO | 166.6286 MHz | LVDS | 2.5V | ±20ppm |
| 536FB000175DG | Skyworks晶振 | Si536 | XO | 167.3316 MHz | LVDS | 2.5V | ±20ppm |
| 536FB000292DG | Skyworks晶振 | Si536 | XO | 161.1328 MHz | LVDS | 2.5V | ±20ppm |
| 536FB000305DG | Skyworks晶振 | Si536 | XO | 156.2578 MHz | LVDS | 2.5V | ±20ppm |
| 536FB106M250DG | Skyworks晶振 | Si536 | XO | 106.25 MHz | LVDS | 2.5V | ±20ppm |
| 536FB150M000DG | Skyworks晶振 | Si536 | XO | 150 MHz | LVDS | 2.5V | ±20ppm |
| 536FB155M520DG | Skyworks晶振 | Si536 | XO | 155.52 MHz | LVDS | 2.5V | ±20ppm |
| 536FB159M375DG | Skyworks晶振 | Si536 | XO | 159.375 MHz | LVDS | 2.5V | ±20ppm |
| 536FC000172DG | Skyworks晶振 | Si536 | XO | 166.6286 MHz | LVDS | 2.5V | ±7ppm |
| 536FC000175DG | Skyworks晶振 | Si536 | XO | 167.3316 MHz | LVDS | 2.5V | ±7ppm |
| 536FC000292DG | Skyworks晶振 | Si536 | XO | 161.1328 MHz | LVDS | 2.5V | ±7ppm |
| 536FC000305DG | Skyworks晶振 | Si536 | XO | 156.2578 MHz | LVDS | 2.5V | ±7ppm |
| 536FC000338DG | Skyworks晶振 | Si536 | XO | 338 kHz | LVDS | 2.5V | ±7ppm |
| 536FC106M250DG | Skyworks晶振 | Si536 | XO | 106.25 MHz | LVDS | 2.5V | ±7ppm |
| 536FC150M000DG | Skyworks晶振 | Si536 | XO | 150 MHz | LVDS | 2.5V | ±7ppm |
| 536FC155M520DG | Skyworks晶振 | Si536 | XO | 155.52 MHz | LVDS | 2.5V | ±7ppm |
| 536FC156M250DG | Skyworks晶振 | Si536 | XO | 156.25 MHz | LVDS | 2.5V | ±7ppm |
| 536AB000335DGR | Skyworks晶振 | Si536 | XO | 156.2539 MHz | LVPECL | 3.3V | ±20ppm |
| 536AB100M000DGR | Skyworks晶振 | Si536 | XO | 100 MHz | LVPECL | 3.3V | ±20ppm |
| 536AB125M000DGR | Skyworks晶振 | Si536 | XO | 125 MHz | LVPECL | 3.3V | ±20ppm |
.gif)
1.技術支持 2.客服咨詢
全方位技術指導,專業的技術支持讓您感受到 專業的銷售團隊,耐心為您解答任何疑問,讓您的
前所未有的后顧無憂. 消費得到保障.
3.質量保證,誠信為上 4.提升業績,降低成本
我司以“以科技為動力,以質量求生存”為理念. 為您的產品量身訂制,免費取樣,
為您做到低成本,高效率.

全方位技術指導,專業的技術支持讓您感受到 專業的銷售團隊,耐心為您解答任何疑問,讓您的
前所未有的后顧無憂. 消費得到保障.
3.質量保證,誠信為上 4.提升業績,降低成本
我司以“以科技為動力,以質量求生存”為理念. 為您的產品量身訂制,免費取樣,
為您做到低成本,高效率.

| 深圳市康華爾電子有限公司 |
| 電 話: +86-755-27838351 |
| 手 機:13823300879 |
| 傳 真: +86-755-27883106 |
| Q Q: 632862232 |
| MSN: konuaer@163.com |
| E-mail:konuaer@163.com |
| 網 址:http://m.zcmachinery.com.cn |
|
地 址:廣東深圳市寶安寶安大道東95號浙商銀行大廈1905 |






銷售代表
售后服務